欢迎访问开云体育域名官网! 标签索引 在线留言 联系我们 网站地图

德国电能质量测试方案提供商

专业kaiyun中国官方登录入口、开yun体育官网入口登录苹果、电能质量分析软件厂家...

全国服务热线13817443004
您所在的位置:
免费咨询热线

13817443004

电能质量相关术语Menu

1. 一般术语

1.1  电能质量 power quality;quality of power system

关系到供用电设备正常工作(或运行)的电压、电流的各种指标偏离规定范围的程度。

1.2  供电质量 quality of supply

供电电源的供电电压质量和供电可靠性。专指用电方与供电方相互作用和影响过程中供电方的责任。

1.3  用电质量 quality of consumption

耗电质量

用户电力负荷对公用电网的干扰水平,干扰因素包括谐波电流、负序电流、零序电流、用电功率因数、无功功率波动和有功功率冲击等。专指用电方与供电方之间相互作用和影响中用电方的责任。

1.4  电压质量 voltage quality

实际电压各种指标偏离规定范围的程度。

1.5  流质量 current quality

实际电流各种指标偏离规定范围的程度。

1.6  电能质量监測 power quality monitoring

釆用符合规范的测量仪器或设备对电网中所关心节点的电能质量相关指标进行测量并与限值对比 分析的过程。

1.7  电能质量评估 power quality assessment

通过建模仿真和电能质量监测,对电网电能质量各项指标作出评价。

1.8  能质量控制 power quality control

通过釆用能够对电能质量进行调节和控制的设备改善或提高电能质量的过程。

1.9  供电可靠性 power supply reliability;service reliability

供电系统对用户持续供电的能力。

[DL/T 861—2004,定义 12.1.1]

1.10 供电可靠率 reliability on service in total

在统计期间内,对用户有效供电时间总小时数与该期间小时数的比值。

1.11 (设备的)额定电压 rated voltage (of equipment)

通常由制造厂家确定,用以规定元件、器件或设备的工作条件的电压值。一般用有效值表示。

1.12 系统标称电压 nominal system voltage

用以标志或识别系统电压的给定值。

[GB/T 156—2007,定义 3.1]

1.13 电压事件 voltage events

指突发的电压严重偏离额定值和正弦波形的现象。

1.14 压特性 voltage characteristics

对在某一确定区域和时间段中用户或设备所承受的电压随时间变化的特性描述。

1.15 压方均根值曲线r.m.s. voltage shape

 U(t)

每半个基波电压周期方均根值(有效值)的时间函数。

[GB/T 12326—2008,定义3.4]

1.16 电压变动 voltage change;voltage variation

电压方均根值曲线上相邻两个极值电压之差,以系统标称电压的百分数表示。

[GB/T 12326—2008,定义3.5]

1.17 稳态电压变化 steady-state voltage change

 稳态电压变动

 ∆Uc

两个相邻稳态电压有效值之间的差值。

1.18 対电压变化 relative voltage change

以参考电压为基准的电压变化。一般用百分数表示。

1.19 压容限 voltage tolerance

 电压容忍度

在一定时间内设备承受电压方均根值或幅值变化(如电压暂降、暂升、短时中断、尖峰、脉冲、振荡)的能力。

1.20 中断 interruption

 长时间中断

电力系统中某一点的一相或多相电压消失或者下降到规定的阈值以下,且持续时间大于1min。

1.21 断电 outage

 停电

电源与用电设备之间脱离电气连接。

1.22 电源故障 power failure

任何造成用户设备的运行性能变得无法接受的电力供应状况。

1.23 电源停用 power outage

 停电

用电点的电力完全消失。

1.24 瞬时 instantaneous

用于量化短时间变化持续时间的修饰词,其时间范围为工频0.5周波〜30周波。

[GB/T 15543—2008,定义3.7]

1.25 时 momentary

用于量化短时间变化持续时间的修饰词,其时间范围为工频30周波〜3s。

[GB/T 15543—2008,定义3.8]

1.26 短时 temporary

用于量化短时间变化持续时间的修饰词,其时间范围为3s〜1min。

[GB/T 15543—2008,定义3.9]

1.27 长时间的 sustained

 持续的

用于量化电压较长时间的中断或变化的修饰词,其时间范围为大于1min。

1.28 电压传递系数 voltage transfer coefficient

电压参数经电气元件传递后产生的相对变化。

1.29 公称供电电压 declared supply voltage

 申报供电电压

经供电公司和用户协商而釆用的并不等于标称电压的供电电压。

[IEC 61000—4—30:2008,定义3.4]

1.30 扣电压 dropout voltage

由接触器脱扣断电而导致装置停止运行的电压门槛值。

1.31 降额运行 derated operation

指设备或系统运行在一个比原有额定值更低的性能水平上(通常是在预防故障或在系统发生故障 时实施)。

1.32 恢复时间recovery time

在分级投切负荷或馈电线路变化后,输出电压或电流返回到调整规范值所需的时间;也可指发生电压中断或断电后系统恢复到正常运行所必需的时间。

1.33 公共连接点 point of common coupling

电力系统中一个以上用户的连接处。

[GB/T 12326—2008,定义3.1]

1.34 供电连接阻抗 service connection impedance

从公共连接点到用户侧计量点之间的连接阻抗。

1.35 键负荷critical load

 临界员荷

当这类负荷不能正常工作时,将危及人身安全,并(或)造成重大的经济和社会影响。

注:

一类负荷:指突然停电将造成人身伤亡,或在经济上造成重大损失,或在政治上造成重大不良影响的负荷。

二类负荷:指突然停电将在经济上造成重大损失,或在政治上造成不良影响的负荷。

三类负荷:不属于一类负荷和二类负荷的都为三类负荷。

1.36 线性负荷linear load

伏安特性保持线性关系的电气设备。

1.37 非线性负荷nonlinear load

与线性负荷相对,指伏安特性不保持线性关系的电气设备。

1.38 冲击负荷impact load

生产(或运行)过程中周期性或非周期性地从电网中取用快速大范围变动功率的负荷。

[GB/T 15945—2008,定义2.3]

1.39 敏感性负荷sensitivity load

 电压敏感负荷 voltage sensitive load

该类负荷对电压质量的要求高于电能质量标准或电磁兼容标准规定的电压质量水平。

1.40 路容量 short-circuit capacity

 短路功率

 Ssc

电网坚强程度的标志。网络某点的短路容量等于该点三相短路电流与额定电压的乘积。见式

(1):1623912226382873.    

(1)式中:

Ssc ——短路容量,MVA:

U ——相间电压,kV;

I——短路电流,kA。

在单位电压情况下,短路容量在数值上等于系统导纳(或者电纳)值,即为系统戴维南等值阻抗(或者电抗)的倒数。

1.41 短路比 short circuit ratio

电气设备接入点短路容量与接入设备额定容量的比值。

1.42 有效短路比 effective short circuit ratio

计及设备接入点并联无功补偿装置影响的短路比。

1.43 功率因数power factor

在周期状态下,有功功率的绝对值与视在功率的比值。

[GB/T 2900.1—2008,定义3.2.20]

1.44 位移功率因数 displacement power factor

 相移功率因数

基波有功功率和视在(表观)功率之比。

1.45 总功率因数 total power factor

 真功率因数 true power factor

总的有功功率和视在(表观)功率之比。

1.46 三相设备 three-phase equipment

连接到三相电源上的设备,其中线在正常运行情况下不作为回流导线。

1.47 平衡的三相设备 balanced three-phase equipment

连接到三相电源上的设备,其三个线电流或相电流设计为幅值相等且任意两个之间相位相差1/3基波周期。中线在正常运行情况下不作为回流导线。

1.48 不平衡的三相设备 unbalanced three-phase equipment

连接到三相电源上的设备,其三个线电流或相电流设计为幅值不等或任意两个之间相位相差不是 1/3基波周期。

1.49 单相设备 single-phase equipment

连接到一个相线和中线之间的设备。

1.50 相间设备 interphase equipment

连接到两相之间的设备。

1.51 脆弱性 vulnerability

装置或设备由于难以承受的外部电力骚扰(如暂时过电压等)而被损坏的特性。

1.52 相位移 phase shift

两个相同频率的电压和(或)电流波形之间在时间轴上的位置移动。

1.53 容限曲线 tolerance curve

 容忍度曲线

表示电气设备承受电压变动范围能力的曲线。常用的有CBEMA, ITIC、SEMI F47曲线等。

1.54 CBEMA, ITIC 曲线 computer and business equipment manufacturers association curve, information technology industry council curve

 容忍度曲线

即计算机商业设备制造商协会制定的电气设备承受电压变动范围能力的曲线。后在此基础上发展并更名为ITIC曲线。

1.55 SEMI F47曲线 specification for semiconductor processing equipment voltage sag immunity curve

 容忍度曲线

半导体设备材料国际团体制造协会所使用的的电压暂降容忍度曲线

1.56 短时故障 temporary fault

 非永久性故障

可以自清除或通过快速重合闸清除的短路故障

1.57 瞬态(现象)transient

是指电压和(或)电流在稳态条件下的一次变化,其持续时间小于周期。一般包括两类现象,即脉冲性瞬态和振荡性瞬态。

1.58 脉冲瞬态impulse transient

电压和(或)电流在稳态条件下突然发生的且具有单极性(主要为正或负)变化的非工频现象。

1.59 振荡瞬态 oscillatory transient

电压和(或)电流在稳态条件下突然发生的且具有正负极性变化的非工频现象。

1.60 快速瞬态 snap transient   

由雷电、接地故障或切换电感性负荷而引起的电路的瞬时扰动。该扰动通常会对同一电路的其他电气和电子设备产生干扰。这类干扰的特点是:脉冲成群出现、脉冲的重复频率较高、脉冲波形的上升时间短暂、单个脉冲的能量较低。

1.61 低频瞬态low-frequency transient

振荡频率低于5kHz的振荡瞬态。

1.62 中频瞬态 middle-frequency transient

振荡频率介于5kHz〜500kHz之间的振荡瞬态。

1.63 高频瞬态 high-frequency transient

振荡频率介于0.5MHz〜5MHz之间的振荡瞬态。

2. 电压偏差

2.1  供电点 supply terminals

供电部门配电系统与用户电气系统的联结点。

[GB/T 156—2007,定义 3.3]

2.2  供电电压 supply voltage

供电点处的线电压或相电压

[GB/T 156—2007,定义3.4]

2.3  电压偏差 deviation of voltage

是一种相对缓慢的稳态电压变动,用某一节点的实际电压与系统标称电压之差对系统标称电压的百分数来表示。

2.4  欠电压 under voltage

一种特定类型的长时间电压变化,指被测电压方均根值与额定电压之比小于0.9p.u.(典型值为 0.8p.u.~0.9p.u.)且持续时间大于1min的电压变化。

2.5  电压调整 voltage regulation

指对电压方均根值进行控制或使之稳定的做法。

3.频率偏差

3.1  标称频率 nominal frequency

系统设计选定的频率。

[GB/T 15945—2008,定义2.1]

3.2  频率偏差 frequency deviation -

系统频率的实际值和标称值之差。

[GB/T 15945—2008,定义2.2]

3.3  频率变动 frequency variation

频率变化过程中相邻极值频率之差。

3.4  阻抗频率特性 impendence-frequency characteristic

阻抗值随频率而变化的关系曲线。

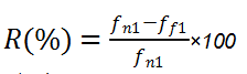
3.5  频率调整 frequency regulation

R(%)

从稳态空载到稳态满载,紧急或备用电源频率的变化百分数。见式(2):

1623922667534898.

式中:

fn1 ——空载情况下紧急或备用电源的频率,Hz;

ff1  ——满载情况下紧急或备用电源的频率,Hz。

4. 三相不平衡度

4.1  正序分量 positive-sequence component

将不平衡的三相系统的电量按对称分量法分解后其正序对称系统中的分量。

[GB/T 15543—2008,定义3.3]

4.2  负序分量 negative-sequence component

将不平衡的三相系统的电量按对称分量法分解后其负序对称系统中的分量。

[GB/T 15543—2008,定义3.4]

4.3  零序分量 zero-sequence component

将不平衡的三相系统的电量按对称分量法分解后其零序系统中的分量。

[GB/T 15543—2008,定义3.5]

4.4  不平衡度 imbalance

不平衡因子 unbalance factor

三相电压(或电流)在幅值上不同或其相位差不是120°,或兼而有之。常用负序或零序电压(电流)与正序电压(电流)之比的百分数表示。

5.电压波动与闪变

5.1  闪变flicker

电压闪变

灯光照度不稳定造成的视感。

[GB/T 12326—2008,定义3.7]

5.2  短时间闪变值 short-term flicker severity

Pst

衡量短时间(若干分钟)内闪变强弱的一个统计量值,短时间闪变的基本记录周期为10min。 [GB/T 12326—2008,定义 3.8]

5.3  长时间闪变值 long-term flicker severity

Plt

由短时间闪变值Pst 推算出,反映长时间(若干小时)闪变强弱的量值,长时间闪变的基本记录周期为2h。

[GB/T 12326—2008,定义 3.9]

5.4  等效闪变值 equivalent 10Hz flicker

 ∆V10

电压调幅波中不同频率的正弦波分量的方均根值等效为10Hz值的1min平均值,以额定电压的百分数表示。见式(3):

46763d7b81d2dbe7afa8718f87f3d63     

(3)式中:

ɑf  ——对应于频率为f的正弦波分量的闪变视感度系数;

Vf1 ——电压调幅波中频率为f的正弦波分量一分钟方均根平均值。

5.5  闪变视感系数 human sensitivity factor to flicker

ɑf

人眼对不同頻率的电压波动所引起灯闪的敏感程度。

5.6  电压调幅波 amplitude modulation voltage waveform

工频50Hz电压幅值包络线的波形.

5.7  电压波动 voltage fluctuation

电压方均根值(有效值)一系列的变动或连续的改变。

[GB/T 12326—2008,定义3.3]

5.8  电压变动特性 relative voltage change characteristic

d(t)

电压方均根值变动的时间函数,以系统标称电压的百分数表示。

5.9  电压变动频度 rate of occurrence of voltage changes

 r

单位时间内电压变动的次数(电压由大到小或由小到大各算一次变动)。不同方向的若干次变动, 如间隔时间小于30ms,则算一次变动。

[GB/T 12326—2008,定义3.6]

5.10 闪变觉察率 flicker sensation rate

 F

闪变对人的视觉反映程度。IEC推荐釆用不同波形、频率、幅值的调幅波对工频电压进行调制,向工频230V、60W白炽灯供电照明,并对观察者的闪变视感实验数据进行统计,即可得到有明显觉察者与难以忍受觉察者的数量之和与观察者总数量的比,即闪变觉察率F。见式(4)

f947fc37c4c7a7231efc6cfe33731e4 

(4)式中:

A——没有觉察的人数;

B——略有觉察的人数;

C——有明显觉察的人数;

D——难以忍受的人数。

5.11 瞬时闪变视感度 instantaneous flicker sensation level

 S(t)

指闪变强弱的瞬时值。通常以闪变觉察率为50%作为瞬时闪变视感度的衡量单位,即定义为S=1觉察单位(unit of perceptibility)。换言之,若S>1觉察单位,说明实验观察者中有更多的人对灯光闪烁有明显感觉,则规定为对应闪变不允许水平。

5.12 视感度频率特性系数 frequency characteristic coefficient of sensation level

 K(f)

在正弦调幅波S(t)=1觉察单位时,最小电压波动值(当f=8.8Hz时)与各频率电压波动值的比。

5.13 灯一眼一脑反应链 lamp-eye-brain chain

 灯一眼一脑环节

描述人眼对灯光闪烁的反应能力和大脑的记忆存储效应的闪变视觉系统模型。

6. 谐波与其他波形畸变

6.1  波形畸变 waveform distortion

稳定状态偏离了理想的工频正弦波形(主要由偏离的频谱量表征)。波形畸变主要有五种基本形式:①谐波:②间谐波:③缺口;④直流偏置;⑤噪声。

6.2  波形质量 waveform quality

指电压和(或)电流变化波形偏离理想正弦波形的程度.

6.3  畸变因数 distortion factor

电压和(或)电流谐波分量的方均根值与基波分量的方均根值的比。有些情况下也定义为电压或者电流谐波分量的方均根值与畸变波形的总方均根值的比。

6.4  基波(分量)fundamental (component)

周期量的傅里叶级数的一次分量。

[GB/T 2900.1—2008,定义 3.1.21]

6.5  谐波(分量)harmonic(component)

周期量的傅里叶级数式中阶次大于1的分量。

[GB/T 2900.1—2008,定义 3.1.19]

6.6  谐波次数 harmonic order

h

任一正弦分量的频率对基波频率或基准基波频率之比。

注:基波分量或基准基波分量的谐波次数为1。

[GB/T 2900.33—2004,定义551—20—09]

6.7  谐波含量 harmonic content

从一交变量中减去其基波分量后所得到的量。

[GB/T 4365—2003,定义 161—02—21]

6.8  3倍次谐波 triplen harmonics

指3次谐波的整数倍(3K+0, K=1, 2, 3,…)次的谐波。在三相对称条件下,由于其性质为零序,又称为零序性谐波。

6.9  正序性谐波 positive sequence harmonics

具有正序性质的谐波。正序性谐波的频率为基波频率的3K+1倍,其中K=0,1, 2, 3,…。

6.10 负序性谐波 negative sequence harmonics

具有负序性质的谐波。负序性谐波的频率为基波频率的3K+2倍,其中K=0, 1, 2, 3.…。

6.11 间谐波频率 interharmonic frequency

基准基波频率的非整数倍频率。

[GB/T 2900.33—2004,定义551—20—06]

6.12 间谐波分量 interharmonic component

 谐间波分量

周期量中具有间谐波频率的正弦分量。

[GB/T 2900.33—2004,定义551—20—08]

6.13 谐波含有率harmonic ratio

 HR

周期性交流量中含有的第h次谐波分量的方均根值与基波分量的方均根值之比(用百分数表示)。第h次谐波电压含有率以HRUh表示,第h次谐波电流含有率以HRIh表示。

[GB/T 14549—1993.定义3.7]

6.14  总谐波畸变率 total harmonic distortion

  THD

谐波含量的方均根值对交流量的基波分量或基准基波分量的方均根值之比。见式(5):

49c946b34644c1eec1971c8fc6cf1fd

(5)式中:

UH ——谐波电压含量;

UI   ——基波电压含量;

IH   ——谐波电流含量;

II     ——基波电流含量。

6.15 总谐波畸变骚扰水平 total harmonic distortion disturbance level

在指定的系统中,由设备的各个部分发射的谐波叠加起来所造成的总的电磁骚扰水平。

6.16 总需量畸变 total demand distortion

 TDD

谐波电流含量的方均根值与最大需求基波电流方均根之比,用百分数表示。

[lEEEstd519—1992,定义3.1]

6.17 特征谐波 characteristic harmonic

在设计工况下,电气设备产生的特定次数谐波。

6.18 非特征谐波 noncharacteristic harmonic

在设计工况下,电气设备产生的非特定次数谐波。

6.19 谐波干扰 harmonic interference

谐波影响电力设备正常运行的问题。

6.20 准稳态谐波 quasi-stationary harmonics

缓慢变化的谐波,在短时间内可以看作稳态的谐波。

6.21 短时间谐波 short duration harmonics

 快速变化谐波

冲击持续的时间不超过2s,且两次冲击之间的间隔时间不小于30S的电流所含有的谐波及其引起的谐波电压。

[GB/T 14549—1993,定义3.10]

6.22 波动谐波fluctuating harmonics

时大时小,变化较快的谐波。它是介于“准稳态”和“短时间”之间的中间状态谐波。

6.23 谐振resonance

当系统的激励频率与其自然频率相同时,电力系统或电路的激励响应增强的现象。

[IEEE std 142-1991,定义2.1]

6.24 谐波谐振 harmonic resonance

电力系统在某一次谐波频率附近发生谐振,引起谐波明显增大的现象。

6.25 谐波源harmonic source

 谐波发生源

向公用电网注入谐波电流或在公用电网中产生谐波电压的电气设备。

[GB/T 14549—1993,定义3.9]

6.26 谐波测量点harmonic measurement points

对电网和用户的谐波进行测量之处。

[GB/T 14549—1993,定义3.2]

6.27 铁磁谐振 ferro resonance

一种不规则的、往往是杂乱的谐振。这种谐振发生在含有铁芯电抗器的非线性特性回路中。

6.28 缺口 notching

 陷波

电力电子装置在进行正常电流换相时导致的周期性电压波形局部畸变。

6.29 直流偏置 d.c.offset

交流电力系统中存在的直流电流或者直流电压。

6.30 噪声 noise

表面上不携带信息但可能与有用信号叠加或混合的多种物理现象。

[GB/T 2900.1—2008,定义 3.1.25]

6.31 背景噪声 background noise

与无线电噪声存在与否无关的来自电力线或变电站的系统总噪声。

6.32 电话干扰因数 telephone influence factor

 TIF

所有正弦波(基波和谐波)的加权方均根值的平方和的平方根值对未加权的所有波形方均根值的比。

[IEEE std 519—1992,定义3.1]

6.33 IT 乘积 IT product

表示感应影响,以电流(I)的方均根值(安培)与电话干扰因数(TIF)的乘积求出。

7.暂时过电压和瞬态过电压

7.1  系统最高电压 highest voltage of a system

在正常运行条件下,在系统的任何时间和任何点上出现的电压的最高值。

不包括瞬变电压,例如,由于系统的开关操作及暂态的电压波动所出现的电压值。

[GB/T 156—2007,定义3.2.1]

7.2  系统最低电压 lowest voltage of a system

在正常运行条件下,在系统的任何时间和任何点上出现的电压的最低值。

不包括瞬变电压,例如,由于系统的开关操作及暂态的电压波动所出现的电压值。

[GB/T 156—2007,定义 3.2.2]

7.3  过电压 overvoltage

Um表示三相系统最高电压,则峰值超过系统最高相对地电压峰值()或最高相间电压峰值()的任何波形的相对地或相间电压分别为相对地或相间过电压。

[GB/T 18481—2001,定义 3.1]

7.4  瞬态过电压 transient overvoltage

持续时间数毫秒或更短,通常带有强阻尼的振荡或非振荡的一种过电压,它可以叠加于暂时过电压上。

[GB/T 18481—2001,定义3.1.2]

7.5  暂时过电压 temporary overvoltage

在给定安装点上持续时间较长的不衰减或弱衰减的(以工频或其一定的倍数、分数)振荡的过电压。

[GB/T 18481—2001,定义3.1.1]

7.6  谐振过电压 resonance overvoltage

由于某些通断操作或故障通断后形成电感、电容元件参数的不利组合而产生谐振时出现的暂时过电压,其持续时间较长,且波形有周期性。

[GB/T 18481—2001,定义3.1.4]

7.7  暂时耐受过电压 temporary withstand overvoltage

在规定条件下,不造成绝缘击穿的暂时过电压的最大有效值。

[GB/T 18481—2001,定义3.3]

7.8  冲击耐受电压 impulse withstand voltage

在规定条件下,不造成绝缘击穿、具有一定波形和极性的冲击电压最高峰值。

[GB/T 18481—2001,定义3.2]

7.9  标准操作(雷电)冲击耐受电压 standard switching (lighting)impulse withstand voltage

在耐压试验时,设备绝缘能耐受的操作(雷电)冲击电压的标准值。

[GB/T 18481—2001,定义3.4.2]

7.10 标准短时工频耐受电压 standard short duration power-frequency withstand voltage

按规定的条件和时间进行试验时,设备耐受的工频电压方均根值。

[GB/T 18481—2001,定义3.4.3]

7.11 过电压类别 overvoltage category

用数字表示瞬态过电压条件。此概念仅适用于直接由低压电网供电的设备。用I、II、III和IV表示过电压类别。

——过电压类别I:连接至具有限制瞬态过电压至相当低水平措施的电路的设备(例如具有过电压保护的电子电路)上所承受的过电压。

——过电压类别II:由配电装置供电的耗能设备(此类设备包含器具、可移动式工具及其他家用和类似用途负荷)上所承受的过电压。如果此类设备的安全(可靠)性和适用性具有特强要求时,则釆用过电压类别III。

——过电压类别III:安装在配电装置中的设备,以及设备的使用安全(工作可靠)性和适用性必须符合特殊要求者(此类设备包含安装在配电装置中的开关电器和永久连续至配电装置的工业用设备等)上所承受的过电压。

——过电压类别IV:使用在配电装置电源端的设备(此类设备包含电能表和前级过电流保护设备等)上所承受的过电压。

[GB/T 18481—2001,定义 3.5]

8.短时间电压变动

8.1  电压暂降 voltage sag

凹陷 voltage dip

指电力系统中某点电压方均根值暂时降低至系统标称电压的0.01p.u.〜0.9p.u.,并在短暂持续10ms〜1min后恢复到正常值附近的现象。IEEE标准中降低范围为0.1p.u.〜0.9p.u.。

8.2  电压暂升 voltage swell

凸起

指电力系统中某点电压暂时升高的事件,电压方均根值上升到1.1p.u.〜1.8p.u.之间,持续时间为10ms〜1 min的现象。 .

8.3  暂降阈值 dip threshold

用于判断电压暂降开始和结束而设定的电压门槛值。

8.4  电压暂降持续时间 duration of a voltage sag

以设定的电压暂降阈值记录的电压暂时降低的持续时间。

8.5  相位跳变 phase-angle jumps

电压、电流波形在时间轴上的位置突然发生变化。

8.6  临界距离 critical distance

某一给定电压暂降幅值下的负荷连接点与故障点之间的距离。

8.7  暂降域 sag area

凹陷域

指系统中发生故障引起电压暂降,使所关心的某一点敏感性负荷不能正常工作的故障点所在的区域。

8.8  短时中断 short interruption

供电电压消失一段时间,其中断时间在规定的时限内。

注:供电电压降低到低于额定电压的1%,且其(降低的)持续时间的下限为十分之几秒,上限约为1min。

[GB/T 4365—2003,定义161 —08—20]

8.9  剩余电压 residual voltage

Ures

电压暂降或者短时中断过程?